Skip to primary content
LifeTein peptide logo
  • Home
  • Services
    • Custom Peptide Synthesis
      • Peptide Overview
      • Peptide Nucleic Acids
      • Fluorescent Peptides
      • Phosphor Peptides
      • Biotinylated Peptides
      • Cell Permeable Peptide
      • Cyclic Peptide
      • Long Peptide >100AA
      • Conjugation Services
      • Peptide Oligo Conjugate
      • Stapled Peptide
      • MAP Peptides
      • D Peptides
    • Rush Peptide Service
    • Peptide Nucleic Acids (PNAs)
      • PNA-Peptide
      • Oligo-Peptide
    • Peptide Drug Conjugates
      • Click Chemistry
      • Peptide Drug Payload
      • PNA Conjugates
      • Stable Isotope Labeling
      • Oligo Conjugates
    • Peptide Library Service
    • Gene-to-Protein Service
      • E.coli Expression
      • Mammalian Expression
    • Antibody Services
      • Polyclonal Service
      • Monoclonal Service
      • Rabbit Monoclonal
    • Custom Chemical Synthesis
    • COVID-19 Service and Products
  • Products
    • Peptide Products
    • Antibody Products
    • Protein Products
    • Chemical Products
    • COVID-19 Products
  • Support
    • Peptide Handling FAQ
    • Peptide Synthesis Blog
    • Protein Knowledge Center
    • Peptide Synthesis Learning Center
    • Scientific Tools
  • About Us
    • Who We Are
    • Careers
    • Publications
    • Promotions
  • Contact Us

Peptide Blogs

  1. Home
  2. Blogs

Services & Products

Image navigation

← Previous

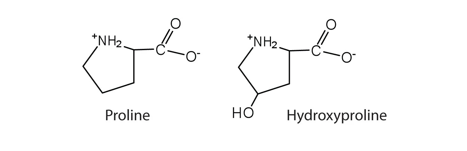
Hydroxyproline 2

Published October 21, 2025 at 1500 × 485 in Unusual Amino Acids: Hydroxyproline
  • Antibody
  • Blog
  • Gene
  • Peptide
  • Unusual Amino Acids: Hydroxyproline
  • Fluorescent Labelling with Cy5
  • Should My Peptide Be Methylated?
  • Rhodamine B Fluorescent Labeling
  • Unusual Amino Acids: α-Aminoisobutyric Acid
Manage Consent
To provide the best experiences, we use technologies like cookies to store and/or access device information. Consenting to these technologies will allow us to process data such as browsing behavior or unique IDs on this site. Not consenting or withdrawing consent, may adversely affect certain features and functions.
Functional Always active
The technical storage or access is strictly necessary for the legitimate purpose of enabling the use of a specific service explicitly requested by the subscriber or user, or for the sole purpose of carrying out the transmission of a communication over an electronic communications network.
Preferences
The technical storage or access is necessary for the legitimate purpose of storing preferences that are not requested by the subscriber or user.
Statistics
The technical storage or access that is used exclusively for statistical purposes. The technical storage or access that is used exclusively for anonymous statistical purposes. Without a subpoena, voluntary compliance on the part of your Internet Service Provider, or additional records from a third party, information stored or retrieved for this purpose alone cannot usually be used to identify you.
Marketing
The technical storage or access is required to create user profiles to send advertising, or to track the user on a website or across several websites for similar marketing purposes.
  • Manage options
  • Manage services
  • Manage {vendor_count} vendors
  • Read more about these purposes
View preferences
  • {title}
  • {title}
  • {title}